성서 번역
聖書翻譯
[라]tanslationess Sacrae Scripturae · [영]translations of the Bible
글자 크기
7권

1 / 32
125~150년경의 그리스어 역본(왼쪽)과 이집트 사하디 방언으로 된 콥트어 역본, 그리고 4세기 그리스어 역본 중 요한 복음서 부분.
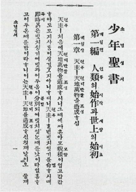
선교 · 전례 · 연구 등의 필요성으로 인하여 성서를 한 언어에서 다른 언어로 옮기는 일련의 작업. 본래 구약성 서는 히브리어로(일부는 아람어와 그리스어), 신약성서는 코이네 그리스어(κοινὴ διάλεκτος)로 쓰여졌다. 따라서 성서를 경전으로 하는 유대교와 그리스도교가 이 언어를 사용하지 않는 다른 지방이나 민족에게 전파될 때, 그 가 르침을 전하려면 성서의 일부 또는 전부를 해당 언어로 옮길 수밖에 없다. 일정한 시대가 흘러가면 같은 지역의 언어도 변하기 때문에 시대에 따라 새롭게 성서를 번역해야 할 필요가 있으며, 성서 원문에 대한 이해 또한 달라지므로 독자층 의 수준에 맞추기 위해서도 성서 번역이 필요하다. 또 새 로운 사본의 발견이나 본문 비평의 발달에 따른 성서 원 문의 변화로 성서를 문자 그대로 옮길 것인가 아니면 그 뜻을 옮기는 데 중점을 둘 것인가 하는 번역 원칙의 차이 때문에, 그리고 번역이란 행위에 필연적으로 따를 수밖 에 없는 한계와 결함 때문에 성서 번역은 계속 이루어질 수밖에 없다. 이처럼 성서 번역은 성서 자체 및 주변 환 경의 변화에 따라 필연적으로 계속 이루어져야 할 과제 요 과정이다. 성서는 일반 문학 작품과는 달리 종교 경전인 관계로 제일 먼저 번역되었다고 여겨지며, 현재도 세계 각국어 로 가장 많이 번역되고 있다. 또한 번역에 있어서도 오랜 기간에 걸쳐 극히 신중하고 충실하게 진행되지만, 종종 번역문을 둘러싸고 많은 논란을 빚는 책이기도 하다. I . 세계에서의 성서 번역 [필사본 시대(기원전 3세기~서기 4세기)] 성서가 다 른 언어로 옮겨지게 된 것은 팔레스티나 지역이 신바빌 로니아에 의해 멸망당한 후 주변 나라로 이주하게 된 때 부터였다. 외국에 머물러 사는 유대인들은 점차 히브리 어를 잊게 되었고, 그래서 회당 예배와 성서 공부의 필요 성 때문에 성서 번역이 요청되었다. 가장 먼저 성서 즉 구약성서를 번역한 이들은 이집트의 알렉산드리아에 살 던 유대인들이었는데, 그들은 모세 오경부터 시작하여 오랜 기간(기원전 250~50경)에 걸쳐 예언서와 성문서 부 분을 그리스어로 옮겼다. 이 번역본이 바로 '칠십인 역 본' (LXX, Septuaginta)이다. 단일한 성서 번역본이 아니라 장기간에 걸쳐 이루어진 여러 낱권 번역본의 집성체라고 할 수 있는 이 칠십인 역본의 특징은, 히브리어 구약성서 에 들어 있지 않은 토비트서 등 그리스어로 쓰여진 10여 권의 성서가 더 포함되었다는 사실이다. 이 그리스어 역 본이 나오게 되자 유대인은 물론 비유대인들도 성서(구 약)를 공부할 수 있게 되었고, 그리스도교의 형성에도 깊 은 영향을 미치게 되었다. 1세기 이후 이 성서가 초대 그 리스도교의 표준판 구약성서로 확고히 자리잡게 되고 히 브리어 성서와 다른 부분들이 논란이 되자, 팔레스티나 의 유대인들은 1세기 말부터 이 성서를 사용하지 않았 다. 유대인들이 사용한 구약성서의 그리스어 번역본은 히 브리 성서의 축자역본인 아퀼라 역본(130경)과 테오도시 오 역본(170경)이었는데, 이외에도 2세기 말의 심마쿠스 역본을 비롯하여 칠십인 역본의 개정본들도 병행하여 사 용되었다. 위의 네 역본에 히브리어 본문과 그리스어 직 역 본문을 병행 · 편집한 책이 230~245년에 이루어진 오리제네스(Origenes, 185~254)의 '육공관(六共觀) 구약 성서' (Hexapla)이다. 팔레스티나와 동방 지역의 유대인 들은 유배 시기 이후 일상 언어였던 아람어로 구약성서 를 옮기고 해설까지 붙인 아람어 구약성서 역본인 '타르 굼' (תַּרְגּוּם, 번역 해석이란 뜻)을 애용하였는데(기원전 100~서기 700경), 그 대표적인 예가 모세 오경을 옮긴 2~3세기의 '타르굼 온켈로스 (Targum Onkelos)이다. 한 편 시리아 유대인들은 1세기 말경부터 구약성서를 아람 어의 동부 방언인 시리아어로 옮기기 시작하였다. 본격적인 성서의 번역은 초대 그리스도교의 성립과 활 발한 선교 활동에서 비롯되었다. 팔레스티나에서 시작된 그리스도교는 사도들의 활약으로 곧 로마 제국 전역으로 퍼져 나갔다. 그리스 문화권 지역에 교회가 설립되던 초 기에는 칠십인 역본과 그리스어 신약성서를 사용하는 데 어려움이 없었으므로 별다른 성서 번역의 필요성이 제기 되지 않은 채 필사본만 늘어갔으나, 점차 시리아 북방의 동방이나 이집트를 포함한 아프리카 · 서유럽 북부로 그 리스도교가 확장되자 성서 번역의 필요성이 제기되기에 이르렀다. 2세기 말부터는 신약성서의 고대 시리아어 역본, 타시 아노(Tatianus, 120~173)의 <디아테사론>(διατέσσαρον, 170경), 북아프리카에서부터 나오기 시작한 여러 고대 라틴어 역본(Vetus Latina), 이집트의 사히디(Sahidic) 방 언으로 된 콥트어 역본(3세기 초) 등이 등장하였다. 그리 고 370년경에는 선교사인 울피라스 주교가 새 알파벳을 만들어 옮긴 중부 유럽의 고트어 역본이 나왔으며, 4세 기부터는 시리아어 역본 중 신구약 성서를 글자 그대로 직역한 페쉬타(Peschitta, 단순한 것이란 뜻)란 이름의 시리 아어 역본이 나와 5세기 초에는 동방 그리스도교의 정경 으로 널리 퍼졌다. 이때 이루어진 성서 번역의 백미는 불가타(Vulgata, 널 리 수용된 통속판이란 뜻) 역본이다. 3세기 이후 라틴어가 그리스어를 대신하여 로마 제국의 언어로 정착되고 그리 스도교가 380년에 로마 제국의 국교로 선포된 상황에 서, 예로니모(Hieronymus, 341?~420)는 교황 다마소 1세 (366~384)의 위임을 받아 번역상 문제가 많았던 고대 라 틴어 역본들을 대신할 새로운 성서 번역에 착수하였다. 그는 신약성서는 그리스어 사본을 참고로 하여 기존의 고대 라틴어 역본을 수정하였다(383~384) . 그러나 구약 성서는 일부는 칠십인 역본을 사용하였지만, 상당 부분 은 당시로서는 극히 파격적인 히브리어 원문을 번역하였 다(386~405). 제2 경전 부분까지 망라한 불가타 성서는 출간된 후 서방 교회 최초의 표준 성서로 확고한 권위를 인정받았으며, 1천 년 이상 가톨릭 교회의 유일한 공인 성서(1546년의 트리엔트 공의회 결정 사항)로서 이후의 교 회 언어는 물론 유럽의 성서 번역과 문화 · 언어에 깊은 영향을 끼쳤다. 특히 성서를 원어로부터 당대의 일상어 로 충실하게 옮겼다는 점에서 성서 번역의 모범 선례가 되었다. '세계 성서 공회 연합회' (United Bible Society : UBS)의 자료에 의하면 이 기간 동안에 성서가 번역된 언 어의 수는 12가지였다. 〔불가타 성서 시대(5~14세기)〕 이 시기에 그리스도 교는 로마 제국 밖의 민족들, 즉 중부 유럽과 동유럽 · 북 유럽 · 아프리카 · 동방의 여러 나라로 활발하게 선교되 었다. 5세기 초부터 동방의 아르메니아에서는 마슈토즈 (Maschtotz, 361~440) 신부가 아르메니아 알파벳을 창안하 여 414년에 성서를 번역하였고, 이보다 조금 늦은 시기 에 아르메니아어 역본을 바탕으로 북방 흑해 주변의 코 카서스 지방에서도 그루지야어 복음서 역본이 세상에 선 을 보였다. 6세기 이후에는 중앙 아시아의 속디아나어 역본이 나왔고, 7세기에는 중국에 선교한 네스토리우스 주의(Nestorianismus, 景敎)가 한문으로 옮긴 경전 중에 성 서의 일부가 수록되어 있었던 것으로 알려지고 있다. 같 은 시기에 아프리카에서는 이디오피아어 역본(5~6세 기) · 누비아어 역본(7세기) 등이 간행되어 그리스도교가 아프리카 남부로 전파되었음을 입증해 주었다. 9세기에 는 아랍어 성서가 나오기 시작하였고, 12세기에는 중국 의 몽고족에게 전교하러 간 프란치스코회 선교사 요한 몬테 코르비노(Joanness a Monte Corvino, 1247~1328)가 타타 르어로 복음서와 시편을 번역하였다. 그러나 1천여 년에 이르는 이 기간 동안에 성서가 번역된 새로운 언어는 23 가지에 불과하였다. 한편 유럽에서는 5세기 말부터 골 지방의 프랑크족 · 부르군디족, 6세기에는 스페인의 수에비족과 비시고트 족 · 게르만족 · 훈족, 7세기에는 이탈리아의 롬바르드 족 · 영국의 앵글로 색슨족, 9세기에는 스칸디나비아의 덴마크족과 스웨덴족에게까지 그리스도교의 선교가 효 과적으로 이루어졌다. 그러나 이 당시 유럽의 대다수 사 람들은 문맹이었고, 교회의 언어와 글이 라틴어로 공식 화되어 있었기 때문에 성서 번역의 필요성은 그리 높지 않았다. 그래서 주로 라틴어 성서에 자국어 설명문을 붙 이거나 라틴어 · 자국어 대역 성서를 만들었으며, 번역도 복음서와 시편, 신약의 서간 정도에 그쳤다. 그렇지만 베다 존자(Beda Venerabilis, 672/673~735)는 라 틴어를 모르는 평민들에게 성서를 전해야 한다고 주장하 며 임종 때까지 앵글로 색슨어로 요한 복음서를 옮겼다. 그 밖에 현재 남아 있는 역본으로는 8세기의 알드헬름 (Aldhelm, +709) 주교의 앵글로 색슨어 시편 역본, 에그버 트 주교의 앵글로 색슨어 복음서 역본, 마태오 복음의 프 랑크어 역본 등이 있다. 9세기에는 라틴어-독일어 사본, 10세기에는 네델란드어 방언 시편 역본, 아인샴의 알프 릭(Aelfric ofEynsham) 수도원장의 앵글로 색슨어 복음서 역본, 11세기에는 앵글로 노르만어 역본 등이 나왔다. 하지만 알비파(Albigenses)와 발도파(Valdesii)가 1226~ 1250년에 최초의 프랑스어 신약성서를 내놓고 세력을 넓히자, 아라곤 왕국의 후앙 1세는 자국 내에서 일체의 성서 번역을 금지시켰다. 한편 유대인들의 마소라(Masorah) 학파에서는 6~10 세기에 히브리어 모음 부호를 창안하여 구약성서 원문을 확정시켰다. 또한 치릴로(Cyrillus, 826~869)와 메토디오 (Methodius, 815~885)는 863년부터 모라비아 지역을 시 작으로 슬라브 민족에게 본격적인 선교를 하는 동시에 마케도니아의 슬라브어 방언을 표기할 알파벳을 창안하 여 성서를 번역하고 사전과 문법책을 펴냄으로써, 그들 의 토착 문화 발전과 그리스도교화를 동시에 진행시키는 좋은 선례를 남겼다. 이때 나온 성서들은 모두 양피지에 손으로 쓴 필사본들로서 값이 비싸고 귀한 것이었는데, 특히 8세기 이후로는 성구를 그래픽 처리하거나 성서에 아름다운 세밀화를 그려 넣었으며, 각종 보석으로 표지 를 장식하여 화려하게 꾸미는 예가 많았다. 〔자국어 성서 시대(15~18세기)〕 이 시기는 르네상스 와 종교 개혁을 비롯하여 민족 의식과 주권 국가가 성장 하고 아메리카 등 미지의 세계로 활발하게 진출하며 선 교하던 시기였다. 새 시대를 알리듯 영국에서 위클리프 (John Wycliffe, 1330~1384)가 1382년에 신약성서를, 그리 고 1384년에 헤레포드와 공역으로 구약성서를 영어로 옮겨 펴낸 일은 성서 번역사의 일대 사건이었다. 라틴어 불가타 역본을 번역 대본으로 삼기는 하였지만, 일반 평 민들이 쉽게 알아들을 수 있게 자국어로 성서를 옮김으 로써 새로운 종교 기운을 불러일으킨 것이다. 그러나 이 성서를 교회에서 받아들일 것인지를 놓고 교회 내부에서 는 논란이 컸다. 그 결과 1408년에 열린 옥스포드 교회 회의에서 자국어로 번역된 성서는 교회의 인가를 받도록 결의하였다. 뒤이어 개종한 유대인들이 옮긴 카스틸리아 어(스페인어) 구약성서인 알바 성서(1422~1433), 1466년 에 스트라스부르크에서 인쇄된 최초의 독일어 역본 성 서, 최초의 이탈리아어 성서인 말헤르비 역본(베네딕도회 역, 1471), 본격적인 프랑스어 성서인 '대성서' (1487) 등 이 연 이어 나왔다. 16세기는 성서 번역사에 큰 획을 그은 시대였다. 시대 의 흐름을 반영하듯 가톨릭 교회에서는 1514~1517년 에 라틴어와 각국 언어를 대역한 성서를 펴냈다. 그리고 에라스무스(Desidenius Erasmus, 1466~1536)가 당시의 그리 스어 연구 결과를 반영하여 당시 시대에 맞는 라틴어로 새롭게 옮긴 신약성서(1516)와 산티 파니니(Santi Pagnini, 1470~1536)가 옮긴 구약성서(1528)가 등장하였다. 그렇 지만 영국 가톨릭에서는 불가타 성서에서 처음으로 영어 로 옮긴 랭스-도아 역본(신약성서 1582, 구약성서 1609)과 칼로너 개정본(신약성서 1749, 구약성서 1763)을, 독일 가 톨릭에서는 불가타 성서에 맞춰 루터 역본을 수정한 엠 제르 역본(1527)을 다듬은 디켄베르크 성서(1534)를, 폴 란드에서는 불가타 역본을 옮긴 우제크 성서(신약성서 1593, 구약성서 1599)를 오랫동안 사용하였다. 자국어 번역 시대를 활짝 연 기폭제가 된 것은 루터 (M. Luther, 1483~1546)의 독일어 성서 번역본이었다. 루 터가 옮긴 독일어 신약성서(1522)와 구약성서(1534)는 라틴어가 아닌 성서 원어에서 직접 근대 유럽의 자국어 로 옮긴 최초의 성서였는데, 제2 경전을 배제한 루터의 이 성서는 이보다 앞서 이루어졌던 서유럽 인쇄술의 발 명과 맞물려 급속히 서방에 보급되어 큰 영향을 미쳤다. 1452~1456년에 구텐베르크가 서유럽 최초로 인쇄한 성서는 불가타 성서로 일명 '42행 성서' 라고 불린다. 더 욱이 '오직 성서' (Sola Scriptura)를 표방한 루터의 주장은 새로운 종교 운동으로서 유럽 대륙에 전파되었다. 그런 가운데 루터 역본을 대본으로 자국어 성서를 내놓은 예 가 속출하였는데, 최초의 스웨덴어 성서(구스타브 바자 역 본, 1541) · 덴마크어 성서(1580) · 아이슬란드어 성서 (1584) · 슬로베니아어 성서(1584) 등이 그 예이다. 최초의 덴마크어 성서인 페데르센 역본(1529) . 최초 의 헝가리어 신약성서인 쟈노스 에르되시 역본(1541)과 비스졸리 성서(1590) · 최초의 폴란드어 신약성서(1553) 와 완역 성서인 레오폴리타 성서(1561) 등도 프로테스탄 트 성서 번역의 열풍 속에서 출판되었다. 한편 최초로 장 과 절이 구분되어 인쇄된 것은 프로테스탄트의 첫 프랑 스어 성서인 올리베탕 성서(1535)가 1551년에 제네바에 서 로베르 에티엔느(Robert Estienne, 1503~1559)에 의해 출 판될 때였다. 16세기에는 영어권에서도 많은 역본들이 출판되었다. 틴들(William Tyndale, 1480~1536)이 그리스어 원문에서 직 접 옮긴 신약성서(1525, 개정판 1534)와 모세 오경(1530~ 1531)은 이후 영어 역본에 지대한 영향을 미쳤다. 제2 경 전을 '외경' 이란 이름으로 신약성서 뒤에 놓은 영어로 인쇄된 최초의 성서 카버데일 역본(1535), 틴들의 친구 인 로저스(John Rogers, 1500~1555)의 토마스 매튜 역본 (1537), 최초로 프로테스탄트에서 공인된 영어 성서인 대성서(1541), 두 번째 공인 성서인 주교 성서(1568) 등 이 연이어 나왔다. 이때 저명한 성서학자인 베자(Theodo- re Beza, 1519~1605)가 틴들 역본과 대성서를 개정하여 1560년에 '제네바 성서' 를 펴냈는데, 공인 성서는 되지 못하였지만 개인용 독서 성서로 유명해졌다. 영어 번역 본의 절정은 영국 왕 제임스 1세(James I , 1566~1625)의 지시로 번역되어 1611년에 나온 '흠정역(欽譯) 성서' (Authorized Version : AV, 또는 King James Version : KIV)이다. 곧바로 공인 성서가 된 이 흠정역 성서는 270여 년 동안 프로테스탄트 영어 성서의 표준판으로 자리잡았으며 근 대 영문학에도 큰 영향을 미쳤다. 또 북아메리카에서는 선교사 존 엘리어트(John Eliot, 1604~1690)가 1663년에 인디언이 사용하는 알곤퀴 방언으로 옮긴 웁비블룸 성서 를 최초로 펴냈다. 이렇게 많은 자국어 성서를 싼값으로 누구에게나 보급 하려는 의도로 프로테스탄트 내에서는 각종 초교파 단체 들이 생겨났는데, 그중 영국의 '그리스도교 지식 보급 회' (1698)와 '영국 성서 공회' (1804) . '독일 성서 공회' (1710). '미국 성서 공회' (1816) · '네덜란드 성서 공회' (1814). '스코틀랜드 성서 공회' (1861) . '프랑스 성서 공회' (1864) 등이 대표적이다. 그러나 이러한 폭발적인 성서 번역과 그로 인한 부작용을 우려한 교황 비오 4세 (1559~1565)는 1564년에 성서의 자국어 번역을 금지시 키는 조치를 취하였다. 그 후 1757년에 교황 베네딕도 14세(1740~1758)는 평신도도 조건부로 성서를 읽을 수 있게 허락하였다. 가톨릭 교회에서 성서 번역이 부진했 던 이유는 불가타 성서라는 확고한 공인 본문이 있었다 는 것 외에 자세한 해제를 붙인 주해 성서를 내야 한다는 교회 방침 때문이기도 하였다. 가톨릭 교회 입장에서는 성서 본문만 옮겨 펴낸 프로테스탄트 성서보다 주해 성 서가 시간과 비용 면에서 훨씬 더 부담스러웠던 것이다. 일례로 최초의 포르투갈어 성서인 페레이라 역본(1790~ 1793)은 가톨릭 주해 성서인데 무려 23권이나 되었다. 그 밖에 자국어 성서에 대한 인식에서도 큰 차이가 있었 다. 하지만 17세기에 들어서면서 가톨릭의 자국어 성서도 조금씩 등장하기 시작하였다. 헝가리에서는 칼디(예수회) 역본(1626)이, 보헤미아에서는 예수회 선교사에 의한 가 톨릭 신약성서(1677)와 구약성서(1715)가, 스페인에서는 불가타 성서를 스페인어로 옮긴 미구엘 역본(1793)이 간 행되었고, 신약성서를 근대 그리스어로 옮긴 막시무스 역본(1638)도 출판되었다. 한편 중국에서는 1730년대에 파리 외방전교회의 바세(J. Basser)가 신약성서의 대부분 을, 18세기 말에는 예수회 선교사 루이 드 푸아로(Louis de Poirot)가 성서의 대부분을 한문으로 옮겼으나 모두 출 판되지 못한 채 원고로만 남았다. 그러나 일본에서는 마 태오 복음(1548)과 4복음서(1552)가, 인도에서는 타밀어 성서(1727)가 발간되었다. 동방 교회에서는 1517~1519년에 근대 러시아어로 성서를 번역하려는 시도도 있었지만, 러시아 정교회 등 에서 표준 성서로 이용된 것은 노브고로드(Novgorod)의 젠나디오(Gennadius) 대주교가 1581년에 키릴 역본을 개 정하여 펴낸 오스트로그 성서였다. 한편 1770년경부터 는 멘델스존(Moses Mendelssohn)이 히브리어 성서를 독일 어로 옮기는 등 유대인들도 자국어로 성서를 옮기기 시 작하였다. 이 3세기 동안에는 기존의 35개 언어 외에 39개의 새 언어로 성서가 번역되었다. 〔성서 비평본과 공동 번역 시대(19세기~현재)〕 계몽 주의 이후 학문들이 분화 · 발전되면서 개발된 다양한 방 법론이 성서학에도 도입되었다. 이에 따라 성서 비평학 이 발전하면서, 특히 성서의 원문과 가까운 본문을 찾아 내려는 '본문 비평' 이 확고하게 자리잡게 되었고, 동시 에 근동 지역에서 활발해진 성서 고고학의 발굴과 발견 으로 고대 세계에 대한 보다 정확한 지식을 갖게 되었다. 또한 2~8세기경의 신약 파피루스 사본 80여 개와 4~5 세기의 시나이 사본 등 우수한 고대 성서 필사본을 많이 찾아냈으며, 고문서학의 발달과 정밀한 과학 장비의 사 용으로 필사 연대와 필체 글씨 등을 좀더 정확하게 파악 할 수 있게 되었다. 더 나아가 헬레니즘 시대에 사용되었 던 코이네 그리스어의 문법과 관용어구 · 어휘 등에 대한 연구 역시 크게 발전되었다. 이에 따라 성서 원문에 대한 관심과 이해가 크게 높아졌으며, 좀더 충실한 성서 본문 을 재구성하려는 노력이 가속화되었다. 그 결과로 나온 것이 각종 비평판 히브리어 구약성서와 그리스어 신약성 서이다. 17세기 이후 기존 번역본의 재인쇄 또는 부분 수정에 만 치중하던 교회에서는 이러한 시대 분위기에 부응하여 19세기 중엽부터는 대대적인 개정 작업에 착수하게 되 었다. 프로테스탄트 영어권에서는 공인 성서였던 '흠정 역 성서' 를 1870년부터 개정하기 시작하여 '개역 성서' (Revised Version : RV, 신약성서 1881, 구약성서 1884, 제2 경 전 1895)와 '미국 표준판 성서' (American Standard Version : ASV, 1901)를 간행하였는데, 이 성서는 그 후 다시 개정 되어 '개정 표준역' (RSV, 신약성서 1946, 구약성서 1952, 제2 경전 1957)으로 나왔다. 부분 수정된 이 역본은 비가 톨릭 성서도 읽을 수 있다는 1918년 교회법 1400조에 의거하여 가톨릭 교회의 인가를 받아 같이 사용하였으며 (1966), 이 역본에서 심한 성차별 언어 등을 다시 개정하 여 1990년에 펴낸 것이 '새 개정 표준역' (NRSV) 성서 이다. 한편 영국에서는 그리스도교 교파들이 연합하여 1970년에 '새 영어 성서' (New English Bible : NEB)를 펴 냈고 이를 1989년에 개정하였다. 이 밖에도 개인들이 번역한 '마펫 역본' (1913~1924, 개 정판 1935)과 필립스의 '현대 영어 역본' (1958)도 높은 평가를 받았다. 또 의역(意譯) 성서인 '생활 성서' (LV, 1971), 쉬운 현대 영어로 옮긴 '복음 성서' (GNB ; TEV, 1977)와 좀더 직역에 가까운 '새 국제 성서' (NIV, 1978), 복음주의 입장에서 흠정역 성서를 개정한 '새 흠정역 성 서' (NKJV, 1982), '당대 영어 역본' (CEV, 1995) 등 각종 교파에서 펴낸 다양한 유형의 성서들이 계속 새롭게 출 판되고 있다. 가톨릭 교회의 성서 연구는 1940년대에 들어 크게 부 흥하였는데, 성서 비평학에 대해 조심스러웠던 종전의 태도를 바꿔 교황 비오 12세(1939~1958)는 회칙 <디비노 아플란테 스피리투>(Divino Afflante Spiritu, 1943. 9. 30)를 통해 성서의 원문 연구를 강조하였다. 이에 따라 1943 년에는 교황청 성서위원회에서도 성서 원어에서 현대어 로 성서를 번역할 수 있도록 허용하였다. 그러나 전례용 성서는 불가타 역본에 일치해야 한다고 규정하였다. 하 지만 불가타 역본이 아닌 현대 비평본 원어 성서로부터 직접 성서를 옮기는 예가 늘어났다. 미국 가톨릭에서는 불가타 역본에서 신약성서를 번역하다가(1941) 교황의 권고에 따라 원어에서 직접 새롭게 옮긴 '클레이스트-릴 리 신약성서' (1950~1954)를 펴낸 데 이어 '새 미국 성서' (NAB, 1970, 신약성서와 시편 개정본 1991)를 펴냈고, 영국 가톨릭에서도 원어에서 옮긴 '웨스트민스터 역본' (1935~ 1949)과 불가타 역본에서 옮긴 '녹스 성서' (1944~1950) 를 동시에 펴냈다. 또 필리핀 가톨릭에서는 제3 세계 교 회를 위한 '그리스도인 공동체 성서' (CCB, 1988)를 영어 판으로 펴내기도 하였다. 한편 미국의 유대교에서 펴낸 영어 히브리 성서(구약) 로는 '레써 성서' (1845~1853)와 마소라본에 의한 성서' (1917)에 이어 전면 새롭게 옮긴 '타낙' (TANAKH, 1982) 이 있다. 프랑스에서는 세공 성서(1879)와 '아베 크랑통 의 성서' (1907)에 이어 도미니코회에서 옮긴 '예루살렘 성서' (1962, 개정판 1973) 등을 펴냈는데, 예루살렘 성서 는 영어판(1966, 개정판 1985) 등 여러 언어로 번역되면서 큰 호응을 얻었다. 독일에서도 루터역 개정판(1892)에 이어 '헤르만 멩게 역본' (1926) , '취리히 성서' (1931, 츠 빙글리 역본의 개정판) 등 200여 가지 성서가 간행되고 있 다. 이와 같이 선교의 열풍이 불었던 19세기에는 빙갈어 (1809) · 중국어(마르쉬만 역본, 1822) · 트위어(아프리카 가 나, 1871) · 일본어(1873) 등 446개의 새 언어로, 20세기 에는 1,400여 개의 새 언어로 성서가 옮겨지는 등 성서 번역의 대폭발 시대를 맞고 있다. 그런데 가톨릭 교회는 제2차 바티칸 공의회( 1962~ 1965)에서 "그리스도인이 아닌 사람들도 사용할 수 있도 록 그들의 조건에 맞추어서 만들고··· 해서든지 성서를 보급하려고 현명하게 힘써야 한다" (계시 25항)고 강조하였다. 그리고 교회법 825조 2항에 "갈라진 형제 들과의 공동 작업으로 성서의 번역판을 출판할 수 있다" 고 규정하였다. 이에 따라 비그리스도인들도 이해할 수 있게끔 쉽게 번역된 자국어 성서를 보다 싼값에 많은 사 람들에게 보급하기 위해, 같은 취지로 일하고 있는 '세 계 성서 공회 연합회' 와 공동으로 노력하기로 합의하였 다. 사실 1960년대까지 가톨릭 교회에서 번역된 성서 언어는 80여 가지였는데, 이에 비해 세계 각국의 성서 공회를 통해서는 1,200여 언어로 번역되었다. 1968년 6월 교황청 성서위원회와 세계 성서 공회 연 합회가 '성서 공동 번역' 의 기본 원칙에 합의함에 따라 한국어(1977) · 독일어(1980) · 일본어(新共同譯, 1987) · 프랑스어(TOB, 1988) 등 각국어 공동 번역 성서가 계속 출판되면서 복음화와 교회 일치 운동을 돕고 있다. 그리 하여 세계 성서 공회 연합회 발표에 의하면 1997년 말 현재 2,167개 언어로 성서가 번역되었는데, 이 중 성서 단편 번역은 932개 언어, 신약성서 번역은 880개 언어, 구약성서는 350개 언어이다. 현재 성서 번역 작업은 번 역 대본의 선택 · 성차별 언어와 인종주의 언어의 사용 등의 문제에 직면해 있다. 그렇지만 기존 번역본의 개정, 더 쉽고 충실한 현대 일상어로의 새 번역, 각 부족어로의 번역 등 그리스도교 복음화의 기초 작업으로 계속 진행 될 전망이다. (→ 라틴어역 성서 ; 성서 ; 성서 사본) ※ 참고문헌 《NCE》2, pp. 414~491/Texts and Versions, 《NJBC》, pp. 1083~1112/ W.A. Smalley, Translation as Misson, Georgia, Mercer Univ. Press, 1991/ R.H. Worth Jr., Bible Translations, North Carolina, McFarland & Co., Inc., Publishers, 1992/ H.M. Orlinsky · R.G. Bratcher, A History of Bible Translation and the North American Contribution, Atlanta, Scholars Press, 1991/ P.R. Ackroyd ed., The Cambridge History ofthe Bible, vols. 1~ 3, Cambridge Univ. Press, 1969~1971/L. 웨이글, 유성덕 · 함영용 공 역,《영어 성경사》, 총신대학 출판부, 1985. 〔李鎔結〕 II . 한국에서의 성서 번역 〔성서와의 첫 만남(1784~1881)〕 한국의 역사에서 근세 까지의 실제적인 대외 통로는 주로 중국에 국한되어 있 었다. 근동에서 기원한 그리스도교와 그 경전인 성서도 이 통로를 통해 유입되었으리라고 추정할 수 있는데, 중 국에 처음 전해진 그리스도교는 431년 에페소 공의회에 서 이단으로 단죄를 받은 네스토리우스파(Nestorianismus) 교회인 경교(景敎)였다. 이들은 635년에 들어와서 당나 라와 원나라 시절에 주요 경전들을 한문으로 번역하였는 데, 마태오 복음 6장이 '세존 보시론' (世尊布施論)으로 전해지고 있는 것으로 보아 그중 성서 일부가 포함되었 을 것으로 여겨진다. 그렇지만 경교나 경교의 경전이 당 시 신라나 고려에 전해졌을지는 극히 미지수이다. 또 1271년에는 프란치스코 수도회 선교사 요한 몬테 코르 비노(Joannes Monte Corvino, 1247~1328)가 중국 원나라에 들어와 전교하면서 1305년 이전에 이미 신약성서와 시 편을 몽골어로 옮겼으나, 이것이 고려에 전해졌을 가능 성은 거의 없다. 일본 가톨릭에서도 16세기에 성서를 단 편으로 번역하였으나 이 또한 전래 가능성은 매우 희박 하다. 실제로 조선에 영향을 미친 첫 그리스도교 문헌은 예수회 선교사들이 명나라에 들어와 저술한 이른바 한역 서학서(漢譯西學書)들이다. 중국 가톨릭에서도 파리 외방전교회 소속 선교사 바세 (J. Basser)와 예수회 선교사 루이 드 푸아로(Louis de Poi- rot)가 성서를 한문으로 옮겼으나, 원고 상태에 머물렀을 뿐 출간되지 못한 실정이라 18세기까지 한문 성서는 없 었다. 첫 중국어 완역 성서가 1822년에 출간되었으므로 이전에 나온 서학서 중에서 성서 본문을 담은 주요한 책 은 《성경직해》(聖經直解)와 《성경광익》(聖經廣益)이었 다. 《성경직해》는 예수회의 디아즈(Emmanuel Diaz, 1574~ 1659) 신부가 1636년에 펴낸 14권의 책으로, 각 주일 및 대축일의 복음 · 해당 본문에 대한 주해 · '잠' (箴)이 라는 항목의 묵상 내용으로 구성되었으며, 번역 대본은 라틴어 성서였다. 《성경광익》은 예수회의 마이야(J.-F.- M.-A. de Moyriac de Mailla, 1669~1748) 신부가 1740년에 펴낸 한문본 '주일 복음 해설서' 인데, 해당 축일과 주일 의 복음에 이어 행할 바를 밝힌 의행지덕(宜行之德)과 기도 지향을 표현한 당무지구(當務之求)로 구성되었다. 따라서 《성경직해》가 성서 본문 자체에 대한 이해에 초 점이 맞춰졌다면, 《성경광익》은 성서의 생활 실천을 강 조하고 있다고 할 수 있다. 조선에 전래된 이 전례서들은 곧 한글로 번역 필사되 었는데, 샤를르 달레(Ch. Dallet, 1829~1878)가 쓴 《한국 천주교회사》(Histoine de I'Eglise de Corée)에 의하면, 이 한 문본을 처음 번역한 사람은 역관 출신인 최창현(崔昌顯 요한, 1754~1801)이었다. 그는 《성경직해》와 《성경광익》 을 합쳐서 필요한 부분만 번역하고 재구성하여 《성경직 해광익》을 펴냈는데, 그 시기는 대략 1790년대로 추정 된다. 《성경직해광익》은 성서 본문과 주해 · 잠 · 의행지 덕 · 당무지구 등 네 부분으로 구성되어 있고, 이 책에 수 록된 성서 구절은 총 1,138절로 4복음서의 30 68%에 해당한다. 《성경직해광익》(필사본 20권)은 박해 중에도 계속 필사 되어 보급되었으며, '성경 요안' . '성경 마두' · '성경 말구 누가 · '성경 슈난' 등 4복음서별로, 또는 수난 구 절만 모은 성서로도 분리되어 필사 보급되었다. 비록 일 부에 불과하지만 《성경직해광익》은 우리말로 옮겨진 첫 성서 본문이라는 점에서, 그것도 한문이 아니라 평민 언 어인 순한글로 번역 · 소개되었다는 점에서 특별한 의의 를 갖는다. 그리고 1890년대 초에 필사되어 유포된 《고 경》(古經)과 《고성경》(古聖經)은 일종의 교리 문답서로, 창세기 4장 2절부터 37장 20절까지의 내용을 간추려 소 개하고 있다. 이 책은 창세기의 일부 구절을 발췌 · 번역 한 것으로 구약성서의 첫 소개라는 점에서 의의가 있다. [본격적인 성서 번역 시기(1882~1911)] 혹독한 병인박 해(1866) 이후 한미 조약과 제물포 조약(1882)들이 속속 체결되면서 1886년부터 어느 정도 신앙의 자유가 보장 되자 교회도 활력을 되찾고 성서 번역도 활발해지기 시 작하였다. 그러나 성서 낱권이 온전하게 우리말로 옮겨 진 것은 국내가 아닌 국외에서였다. 스코틀랜드 연합 장 로교회 선교사인 로스(J. Ross, 羅約翰, 1842~1915)와 매 킨타이어(J. MacIntyre, 馬勒泰)는 1877년부터 만주에서 조선인 이응찬(李應贊) · 서상륜(徐相崙, 1848~1926) . 백홍준(白鴻俊, 1848~1893) 등의 도움을 받아 신약성서 를 한글로 옮겨 1882년 3월 24일에 《예수 성교 누가 복 음 전셔》(심양 문광서원 발행)를 첫째 권으로 펴냈다. 최초 의 번역위원회 중국어 성서인 《대표 역본》(代表譯本 1854)을 번역 대본으로 한 이 성서가 한글로 옮겨진 최초 의 성서 낱권이다. 이후 로스의 번역으로 나온 성서 낱권 들이 묶여져 1887년에는 우리 나라 최초의 한글 신약성 서인 《예수 성교 견셔》가 출판되었다. 한편 1882년에 신 사 유람단의 일원으로 일본에 간 이수정(李樹廷, 1842~ 1886)은 그곳에서 그리스도교로 개종한 뒤 '미국 성서 공회' 의 요청으로 1884년에 한문 성서-사실은 네 복 음서와 사도 행전뿐이지만-에 토를 단 《현토 한한 신약 성서)(懸吐漢韓新約聖書)를 펴냈고, 이듬해에는 일종의 국한문 마르코 복음서인 《신약 마가젼 복음셔 언해》를 펴냈다. 이 성서가 한국인이 옮긴 최초의 성서 낱권이다. 이와 같이 비슷한 시기에 만주와 일본에서 최초의 한글 신약성서 번역이 이루어졌고, 이 성서들은 이후에 이루 어진 프로테스탄트 성서 번역에 적지 않은 영향을 미쳤 다. 1885년에 한국에 입국한 프로테스탄트 선교사들은 기존 번역본의 문제점을 깨닫고 1887년에 '상임 성서위 원회' 를 결성하여 개정 작업에 착수했다. 그리고 1890 년에 새로운 번역본을 만들기로 결의하고, 1893년에 '상임 성서 실행위원회' 와 '성서 번역자회' 를 결성하였 다. 1892년에 나온 《마태 복음》을 시작으로 국내에서 처 음 번역된 신약성서 낱권들이 1900년에 《신약 젼셔》로 합쳐졌고, 이를 수정한 1906년판이 공인본으로 인정되 었다. 한편 《미이미 교회 강례》에 실린 욥기 19장 25- 27절(1890), 《죠션 크리스도인 회보》(1897)에 실린 사무 엘 상 · 하권 등, 선교사 피터스(Alexander Albert Pieters, 彼 得, 1872~1958)가 시편 62편을 번역한 《시편 촬요》(詩篇 撮要, 1898) 등 부분적으로 이루어졌던 프로테스탄트의 구약성서 번역은 성서 번역자회에 의해 1910년부터 본 격적으로 진행되어 이듬해 최초의 한글 《구약 젼셔》가 출간되었다. 그리고 같은 해 《신약 견셔》와 묶어져 첫 한 글본 《성경 전셔》(흔히 舊譯이라 불림)가 발간되었다. 한편 한국 가톨릭에서는 초창기부터 애용해 오던 《성 경직해》를 대량 보급하기 위하여 1892~1897년에 활판 본으로 9권을 펴냈다. 이와 아울러 1906년에 한글 성서 번역에 착수하여 손성재(孫聖載, 야고보, 1877~1927) 신 부가 마태오 복음서를, 한기근(韓基根, 바오로, 1868~ 1939) 신부가 마르코 · 루가 · 요한 복음서를 역주하고 위 텔(G.-C.-M. Mutel, 1854~1933) 주교가 감준한 4복음서 번 역본인 《ᄉᆞᄉᆞ셩경》(四史聖經)을 1910년에 발간하였다. 번역 대본은 라틴어 성서인 불가타 역본으로 추정되며, 각 장 끝에는 성구 주해가 '풀님' 이란 이름으로 붙어 있 는데, 이 책이 한국 가톨릭 교회의 첫 한글 4복음서 번역 본이다. 〔번역과 개정 작업(1912~1945)〕 일본 제국주의의 억압 이 계속되는 어두운 시절에도 성서는 한글로 옮겨지면서 빛과 희망이 되어 주었다. 가톨릭에서는 4복음서에 이어 한기근 신부가 1911년에 불가타 역본에서 옮긴 '사도 행전' 을 《사사성경》과 합하여 1922년에 《사사성경 합부 종도 행전〉(四史聖經合附宗徒行傳)을 펴내었고, 1939 년의 재판 때에는 조선어학회의 '한글 맞춤법 통일안' (1933)에 따라 최초로 띄어쓰기를 시행하였다. 1941년 에는 베네딕도회의 슐라이허(A. Schleicher, 1906~1952) 신 부가 불가타 역본을 참조하여 그리스 원어에서 옮긴 《신 약성서 서간 · 묵시 편》을 발간함으로써, 한국 가톨릭 교 회는 비로소 완전한 한글 신약성서를 갖게 되었다. 이 밖 에 어린이를 위한 이야기체 성서인 《쇼년 성셔》(少年聖 書, 피클레르 신부 지음, 1925년 초판은 국한문 번역본이고 1933년 재판은 순한글본)도 출간하였다. 프로테스탄트에서 이루어진 성서 번역 사업은 좀더 활 발하였다. 1911년에 나온 《성경 전셔》에 중국의 고전 한 문체(文理譯) 용어가 많은데다가 3년 만에 갑작스럽게 이루어진 까닭에 구약 번역에 있어 문제점이 많이 드러 났던 것이다. 이에 따라 이듬해에 구약 '개역자회' 가 조 직되어 1936년에 《구약 전셔 개역》이 출간되었다. 신약 성서 역시 1926년에 개역 작업이 시작되어 1937년에 개역판이 나왔고, 개역된 신구약 성서가 묶여져 1938년 에 '조선 성서 공회' 의 이름으로 《성경 개역》이 첫 출판 되었다. 이 성서는 원어 성서를 중심으로 옮기되 흠정역 영어 성경 등을 참조한 직역 성서로서, 현재까지 프로테 스탄트에서 사용하고 있는 공인 성서이다. 그러나 이 성 서를 처음 펴낼 때 시도하였던 구어체는 장로교의 반대 로 거부되어 1931년에 고어체로 복귀되었으며, 조선어 학회가 건의한 '한글 맞춤법 통일안' 도 적용되지 못한 아쉬움을 남겼다. 이 공인 성서 외에도 선교사들이 개별적으로 옮긴 성 서들도 속속 간행되었는데, 대표적인 것이 동아 기독교 (침례교)를 창설한 펜워(M.C. Fenwick, 片爲益, 1863~1935) 이 1919년에 펴낸 《신약 전셔》이다. 이는 한국 최초로 개인이 완역한 신약성서로 남다른 의미를 지니고 있다. 1925년에는 성서 개역 위원들과 마찰을 빚은 선교사 게 일(J.S. Gale, 奇一, 1863~1937)과 이원모(李源模)가 따로 조선어풍 문체로 신구약 성서를 완역하여 《신역 신구약 전서》(新譯新舊約全書)를 펴냈다. 이 성서는 교파나 단 체가 아닌 개인들이 성서 전체를 옮긴 유일한 예로, 간결 한 문장이 특색이다. 또한 조선 성공회에서는 4복음서· 사도 행전 · 서간에서 뽑은 384절로 이루어진 전례용 발 췌 성서인 《조만민광》(照萬民光, 1894)과 시편에서 52편 을 옮긴 《성시 선편》(聖詩選篇, 1937)을 펴냈다. 〔한국어 성서와 공동 번역 성서(1945~1977)〕 일제의 억압에서 해방된 우리 나라는 혼란과 뒤이은 한국 전쟁 의 상처로 어렵고 힘든 시절을 보내야 했다. 그런 처지에 서도 성서는 계속 다듬어지면서 발간 · 보급되었는데, 먼 저 가톨릭에서는 《사사성경 합부 종도 행전》에 선종완 (宣鐘完, 라우렌시오, 1915~1976) 신부 등이 해제와 주해 를 새로 붙인 개정판을 1948년에 《신약성서 상편》이란 이름으로 펴냈다. 이 성서는 이후 《복음 성서》란 이름으 로, 또 《신약서 서간 · 묵시 편》은 《서간 성서》란 이름 으로 1971년 '공동 번역 신약성서' 가 나올 때까지 계속 간행되어 사용되었다. 한편 프로테스탄트에서는 1946년 에 재결성된 '대한 성서 공회' (Korean Bible Society)에서 1949년부터 '개정한 한글 맞춤법 통일안' (1948)에 맞춰 《성경 개역》을 교정하여 1952년판 · 1956년판(일부 번역 문 수정)에 이어 1961년에 결정판인 《성경 전서 개역 한 글판》을 펴냈다. 현재까지 프로테스탄트에서는 이 성서 를 가장 널리 사용하고 있다. 한국 사회가 점차 안정되어 가면서 선교사가 아닌 한 국인의 자체 역량으로, 성서 원어로부터 쉬운 현대어로 성서를 번역하려는 노력이 새롭게 나타나기 시작하였다. 가톨릭에서는 선종완 신부가 1955년부터 히브리 원문에 서 구약성서를 옮기기 시작하여 1958년부터 1963년까 지 《창세기》를 비롯하여 모두 17권을 번역 · 간행하였는 데, 이것이 한국 가톨릭 최초의 구약성서 번역본으로 입 문과 주를 단 주해 성서이다. 이어 최민순(崔玟順, 요한, 1912~1975) 신부가 1968년에 불가타 역본에서 옮긴 《시 편》은 아름다운 우리말로 시의 운율을 살린 번역문이어 서 전례문에 널리 사용되었다. 1977년에는 이 시편과 유고인 '아가서' 가 합쳐진 《시편과 아가》가 출판되었고, 베네딕도회 소속이었던 최창성 신부가 독일어 《엑케르 성서》를 옮긴 간추린 성서 《구세사》(초판1963, 개정판 1970)를 펴냈다. 또 평신도인 김창수(金昌洙)가 일본어 성서와 녹스판 영어 성서(1949)를 번역 대본으로 삼고 불가타 성서로 교열하여 쉬운 말로 옮긴 《신약성서 복음 편》 · 《신약성서 서간 편》(1968) · 《창세기 · 출애굽기》 (1972)를 펴냈고, 백민관(白敏寬, 테오도로) 신부가 네 복음서를 하나로 묶은 《합본 복음서》(1972) 등도 간행되 었다. 프로테스탄트에서도 1957년에 박창환(朴昶環)의 '에베소서' 번역을 시작으로, 1961년에 복음 동지회 성 서 번역위원회의 《새로 옮긴 신약성서 1-마태의 복음 서》 등이 나오다가 한국 학자들로 구성된 대한 성서 공 회의 신약 번역위원회가 성서 원어에서 직접 옮겨 1967 년에 《신약 전서 새 번역》을 펴냄으로써 한국인 번역본 의 꽃을 피웠다. 이러한 양측의 노력은 종교간의 대화와 협력을 강조하 는 시대의 분위기 속에서 《공동 번역 성서》라는 획기적 인 성서를 낳게 되었다. 1968년에 있은 교황청 성서위 원회와 세계 성서 공회 연합회의 공동 번역 결의에 따라 한국에서도 그 해에 '성서 번역 공동위원회' 를 조직하였 다. 그리고 양측 번역 위원들의 작업으로 1971년에 세 계 최초로 《공동 번역 신약성서》를, 1977년에는 신약성 서 개정판과 구약성서를 합본한 《공동 번역 성서》를 내 놓았다. 《공동 번역 성서》는 가톨릭과 프로테스탄트가 처음으로 연합하여 직역보다는 내용의 동등성을 강조한 의역 중심으로, 젊은 층이 이해할 수 있는 쉬운 우리말 로, 또 국내 최초로 '제2 경전' 을 옮겨 소개하였다는 점 에서 중요한 의미를 지닌다. 〔다양한 번역본의 속출(1977년 이후)〕 1970년대 이후 산업화가 급격히 진행되면서 한국 사회는 커다란 변화를 겪게 되었다. 교회 창설 200주년을 맞은 한국 가톨릭과 선교 100주년을 맞은 프로테스탄트의 신자가 급증하자, 이에 따라 폭 넓은 신자층에게 성서를 전달해야 할 필요 성과 함께 다양한 번역본에 대한 신자들의 요청 역시 높 아졌다. 더욱이 성서학계도 크게 발전하여 진전된 연구 결과를 반영하는 새로운 성서 번역이 계속 요청되었다. 그래서 가톨릭에서는 1974년부터 성서학자들이 모여 의역 중심의 《공동 번역 성서》와는 다른, 성서 원어를 정 확하게 직역하고 각 권마다 자세한 해제와 주석을 붙인 《200주년 기념 성서》를 기획하게 되었다. 그 결과 서강 대학교 신학연구소에서 구약성서 중 《호세아 · 미카》 (1977) 등 11권의 소예언서를 펴냈으며, 신약성서는 분 도출판사에서 《마르코 복음서》(1981)를 비롯한 전권을 계속 속간하고 있다. 또한 이 주석 성서와 달리 간단한 주해만 붙인 《신약성서 보급판》도 간행되었다(초판 1991, 수정판 1998). 그리고 한국 천주교 주교 회의 성서위원회 에서는 구약성서를 원문에 충실하게 옮기고 상세한 주해 를 붙인 '구약성서 새 번역' 을 기획 · 간행하고 있는데, 1994년에 《시편》을 제1권으로 하여 계속 간행되고 있는 이 새 번역 총서는 1999년 6월 말 현재 40권을 간행하 였고 2000년까지 완간할 계획으로 추진 중이다. 프로테스탄트에서도 옛말과 한문투의 개역 성서와 달 리 살아 있는 현대어로 새롭게 성서를 번역하려는 움직 임이 활발하게 일었다. 《풀어 옮긴 현대어 성서》(정용섭 역, 1978) · 《표준 신약 전서》(한국 표준 성서 협회 역, 1983) · 《현대인의 성경》(1985) · <현대어 성경》(1991) 등 이 새 성서로 간행 · 보급되었다. 뿐만 아니라 대한 성서 공회에서도 새로운 현대어 공인 역본을 기획하여 9년 3 개월 만에 1993년에 《성경 전서 표준 새 번역》을 간행하 였다. 이와 아울러 전통적으로 사용해 오고 있는 《성경 전서 개역 한글판》(1956)의 개정판을 1998년에 간행하 였다. 한편 북한에서는 공동 번역 성서를 대본으로 하되 일부 용어를 북한 용어로 바꾼 《신약 전서》(1983)와 《구 약 전서》(1984)를 펴내 사용하고 있다. (⇦ 공동 번역 성 서 ; → 선종완) ※ 참고문헌 <하느님이 우리말을 하시다>, 《성서와 함께》 129호 (1986. 12)/ 그리스도교와 겨레 문화 연구회 편, 《한글 성서와 겨레 문화》, 기독교문사, 1985/ 민영진, 《국역 성서 연구》, 성광문화사, 1984/ 리진호, 《한국 성서 백년사》 I ~ I 대한기독교서회, 1996/ 나 채운, 《우리말 성경 연구》, 기독교문사, 1990/ 이만열, <대한 성서 공 회사》 I~Ⅱ, 대한성서공회, 1993~1994/ 이원순, <성서 국역사 논 고〉, 《民族文化》 3, 민족문화추진회, 19771 한영제 편, 《한국 성서 · 찬송가 100년》, 기독교문사, 1987. [李鎔結]
